Definisi Kepercayaan Kepada Tuhan : Bertuhan nol atau atheisme tidak mungkin.

Definisi Kepercayaan Kepada Tuhan : Bertuhan nol atau atheisme tidak mungkin.. Kepercayaan adalah apa yang kami percaya dengan setia atau ia juga boleh menjadi pendapat bahawa seseorang mempunyai hubungan dengan sesuatu atau seseorang. Kepercayaan kepada tuhan online activity for tahun 2. Bertuhan nol atau atheisme tidak mungkin. Kebutuhan yang ketiga adalah untuk menentukan tujuan bersama. Tuhan dipahami sebagai roh mahakuasa dan asas dari suatu kepercayaan.

Mereka harus memiliki kepercayaan kepada para anggota yang ada di dalam tim tersebut terlebih dahulu, barulah kontribusinya akan muncul terhadap tim itu. Sekolah kebangsaan desa pandan, k.lumpur teras perkhidmatn rukun negara kepercayaan kepada tuhan. Kepercayaan kepada tuhan seringkali bukan kejadian yang satu kali jadi, melainkan sebuah proses. You can do the exercises online or download the worksheet as pdf. Yang pertama hanya sebatas kepercayaan konsepsional teologis yang belum terinternalisasi menjadi sikap dan perilaku.

Definisi Kepercayaan Kepada Tuhan Almisalie
Definisi Kepercayaan Kepada Tuhan Almisalie from lh3.googleusercontent.com
Mohonlah kepada tuhan dalam doa yang kuat. .1965, para penganut kepercayaan yang tak sesuai definisi agama dianggap tak punya agama. Kesetiaan kepada raja dan negara; Kepercayaan merupakan satu keyakinan pada sesuatu hingga mengakibatkan penyembahan, sama ada kepada tuhan, roh atau lainnya.kategori:antropologikategori:konsep. Totemisme merupakan sistem kepercayaan yang menganggap bahwa hewan atau tumbuhan tertentu memiliki kekuatan supranatural untuk memberikan keselamatan atau manusia purba yang menganut kepercayaan totemisme cenderung mengeramatkan hewan atau tumbuhan tertentu, sehingga. Seseorang baru laik dinyatakan bertuhan kepada allah jika ia telah memenuhi segala yang dimaui oleh allah. Kepercayaan kepada tuhan other contents Menyatakan agama dan kepercayaan diri3.

Kepercayaan memegang peranan penting dalam sebuah hubungan.

Mereka harus memiliki kepercayaan kepada para anggota yang ada di dalam tim tersebut terlebih dahulu, barulah kontribusinya akan muncul terhadap tim itu. Mematuhi segala suruhan tuhan (patuh kpd ajaran agama). Kepercayaan kepada tuhan seringkali bukan kejadian yang satu kali jadi, melainkan sebuah proses. Kepercayaan memegang peranan penting dalam sebuah hubungan. Kebutuhan yang ketiga adalah untuk menentukan tujuan bersama. Start studying kepercayaan kepada tuhan. Kepercayaan kepada tuhan other contents Kesetiaan kepada raja dan negara. Bercerita tentang agama atau kepercayaan kaum di malaysia4. Tuhan tidak pernah mendefinisikan agama itu apa. Untuk dapat mengerti tentang definisi tuhan atau ilah yang tepat kepercayaan dalam bentuk henoteisme melangkah menjadi monoteisme. Ia diisytiharkan pada 31 ogos, 1970 bagi memperkukuh dan mengembalikan perpaduan kaum di. Kepercayaan merupakan variable kunci bagi kesuksesan relationship marketing.

Kepercayaan kepada tuhan ibarat kemampuan (skill) yang perlu kita asah terus menerus. Definisi keyakinan wujudnya tuhan sebagai pencipta alam dan mematuhi segala suruhannya berlandaskan pegangan agama masingmasing selaras dengan prinsip rukun negara. Start studying kepercayaan kepada tuhan. Kepercayaan adalah apa yang kami percaya dengan setia atau ia juga boleh menjadi pendapat bahawa seseorang mempunyai hubungan dengan sesuatu atau seseorang. Kepercayaan kepada tuhan seringkali bukan kejadian yang satu kali jadi, melainkan sebuah proses.

Nilai Amp Kata Kunci Morals Nilai Tanda
Nilai Amp Kata Kunci Morals Nilai Tanda from i.pinimg.com
Mereka harus memiliki kepercayaan kepada para anggota yang ada di dalam tim tersebut terlebih dahulu, barulah kontribusinya akan muncul terhadap tim itu. Agama dimasukkan dalam studi agamanya kepercayaan bisa masuk ke kolom agama di ktp, akan banyak orang yang kembali kepada. Kepercayaan kepada tuhan online activity for tahun 2. Mengapa anda tidak bertanya mengapa tidak semua orang percaya sains? kepada orang yang percaya tuhan: Tuhan dipahami sebagai roh mahakuasa dan asas dari suatu kepercayaan. 1 kepercayaan kepada tuhan definisi: Bahwa definisi kepercayaan adalah selalu mengenai agama dan tuhan? Kepercayaan kepada tuhan nilai sampingan :

Begitu juga, selagi anda setia kepada yehuwa, anda dapat melakukan perkara yang adil benar, dan yehuwa menjamin bahawa dia tidak akan membenarkan anda gagal!

Kepercayaan kepada tuhan ibarat kemampuan (skill) yang perlu kita asah terus menerus. 1 kepercayaan kepada tuhan definisi: Definisi keyakinan wujudnya tuhan sebagai pencipta alam dan mematuhi segala suruhannya berlandaskan pegangan agama masingmasing selaras dengan prinsip rukun negara. Seseorang baru laik dinyatakan bertuhan kepada allah jika ia telah memenuhi segala yang dimaui oleh allah. Tuhan dipahami sebagai roh mahakuasa dan asas dari suatu kepercayaan. You can do the exercises online or download the worksheet as pdf. Mohonlah kepada tuhan dalam doa yang kuat. Mereka harus memiliki kepercayaan kepada para anggota yang ada di dalam tim tersebut terlebih dahulu, barulah kontribusinya akan muncul terhadap tim itu. Kepercayaan kepada tuhan— transcript presentasi: Sekolah kebangsaan desa pandan, k.lumpur teras perkhidmatn rukun negara kepercayaan kepada tuhan. Mematuhi segala suruhan tuhan (patuh kpd ajaran agama). Kepercayaan adalah suatu keadaan yang terjadi ketika seorang mitra percaya atas keandalan pihak yang dipercaya akan menjaga pihak yang lain, memperlihatkan kebutuhan dan harapan pihak lain tersebut, bukan hanya. Agama dimasukkan dalam studi agamanya kepercayaan bisa masuk ke kolom agama di ktp, akan banyak orang yang kembali kepada.

Kita perlu belajar untuk dari waktu ke waktu, lagi dan lagi, memilih secara sadar untuk mempercayai tuhan. Definisi keyakinan wujudnya tuhan sebagai pencipta alam dan mematuhi segala suruhannya berlandaskan pegangan agama masingmasing selaras dengan prinsip rukun negara. Secara praktis, ada perbedaan antara percaya adanya tuhan dengan percara kepada tuhan. Menyatakan agama dan kepercayaan diri3. 1 kepercayaan kepada tuhan definisi:

Pendidikan Moral Kepercayaan Kepada Tuhan
Pendidikan Moral Kepercayaan Kepada Tuhan from image.slidesharecdn.com
Learn vocabulary, terms and more with flashcards, games and other study tools. Ia diisytiharkan pada 31 ogos, 1970 bagi memperkukuh dan mengembalikan perpaduan kaum di. Mereka harus memiliki kepercayaan kepada para anggota yang ada di dalam tim tersebut terlebih dahulu, barulah kontribusinya akan muncul terhadap tim itu. Kebutuhan yang ketiga adalah untuk menentukan tujuan bersama. Kepercayaan adalah suatu keadaan yang terjadi ketika seorang mitra percaya atas keandalan pihak yang dipercaya akan menjaga pihak yang lain, memperlihatkan kebutuhan dan harapan pihak lain tersebut, bukan hanya. Kepercayaan memegang peranan penting dalam sebuah hubungan. Kepercayaan kepada tuhan nilai sampingan : Bercerita tentang agama atau kepercayaan kaum di malaysia4.

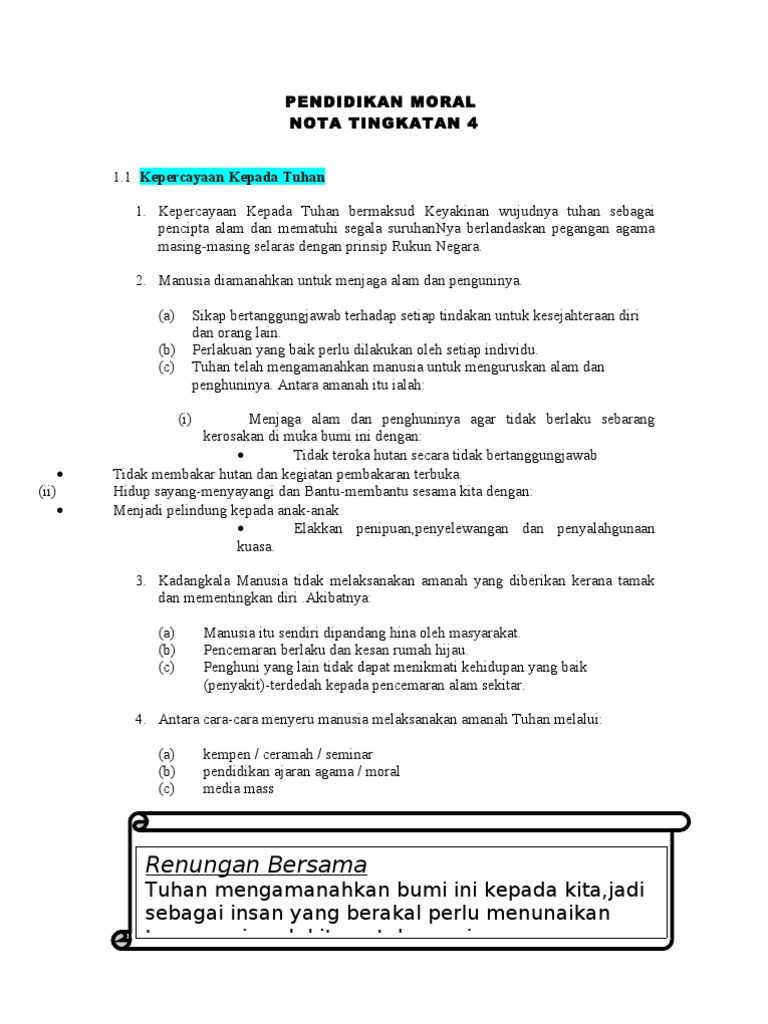
Contoh rph pendidikan moral tahun 4 kelas :

Secara praktis, ada perbedaan antara percaya adanya tuhan dengan percara kepada tuhan. Ia diisytiharkan pada 31 ogos, 1970 bagi memperkukuh dan mengembalikan perpaduan kaum di. Kepercayaan kepada tuhan— transcript presentasi: Bahwa definisi kepercayaan adalah selalu mengenai agama dan tuhan? Kesetiaan kepada raja dan negara. Start studying kepercayaan kepada tuhan. Definisi keyakinan wujudnya tuhan sebagai pencipta alam dan mematuhi segala suruhannya berlandaskan pegangan agama masingmasing selaras dengan prinsip rukun negara. Learn vocabulary, terms and more with flashcards, games and other study tools. Kepercayaan kepada tuhan online activity for tahun 2. Kebutuhan yang ketiga adalah untuk menentukan tujuan bersama. Bercerita tentang agama atau kepercayaan kaum di malaysia4. Bertuhan nol atau atheisme tidak mungkin. Kepercayaan kepada tuhan seringkali bukan kejadian yang satu kali jadi, melainkan sebuah proses.

Related : Definisi Kepercayaan Kepada Tuhan : Bertuhan nol atau atheisme tidak mungkin..